Power system of a SWICH location is a very critical fact. We cannot tolerate any power failures in Core Network elements. Following are some highlights of power system.
· Battery capacity of around 10,000 Ah
· Typical Consumption of equipment is (observed) around 1300-1400 Ah
Observed power consumption will vary as the network utilization changes. If we consider a day, network utilization changes and it will be a maximum in the busy hour of the network. By using battery power only we can keep system run for nearly 8 hours. Additionally we have fuel powered Generators in an Emergency situation.
To make sure that all the batteries function well we conduct a test in every six m0nths (discharging all the batteries is a part of that test). Batteries are connected through Low Voltage Detectors (LVDs) to disconnect batteries when the reach a certain minimum level. In practical environment we may bypass LVDs to supply power until batteries drain to their minimum limits. This may risk the battery health. But by doing this we can supply power for a longer period to critical loads (equipment).
Single Battery Unit Specification: There were two types of battery units used in Grandpass.
Majority of them are 2.2V, 1500 Ah and the others were 2.2V, 2500 Ah. Twenty four such units connected in series to build up a single bank of batteries. There were six battery banks inside this room.
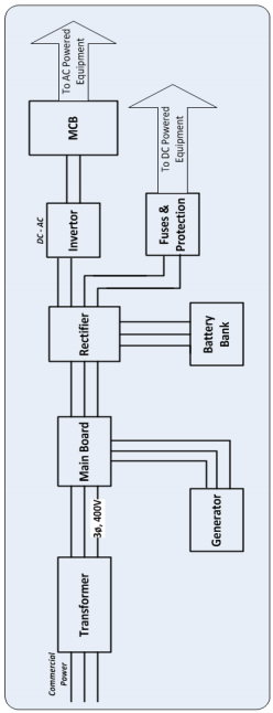
High-level block diagram of a Power System (SWITCH Centre) shown below.

